Recent Projects

ANÉA-ASNA Case Competition - Semi-finalist
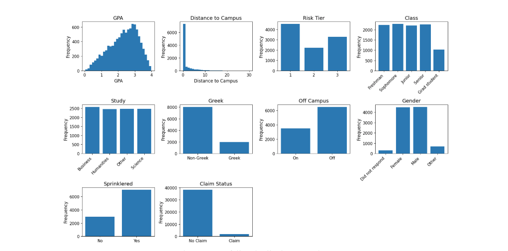
Analyzed 40,000+ commercial property insurance records, flagging Greek and non-sprinklered buildings as top claim-heavy segments. Built a predictive claim-risk model using logistic regression for underwriting and pricing insights. Conducted catastrophe stress testing, projecting 80–90% higher severity for non-sprinklered buildings.

UT Dallas ASA Workers’ Compensation Reserving Case Study (TUO)
Estimated TUO’s ultimate losses and outstanding reserves using reported and paid loss development factors, relying on multi-year averages supported by long-term triangle stability. Analyzed indemnity and medical development patterns, smoothed anomalous AY behaviour, and validated selections through a frequency-severity perspective. The project concluded with a technical slide presentation outlining reserve indications, key assumptions, and development dynamics to industry judges.

Loan Default Risk Prediction Model
Machine learning project using logistic regression to predict loan default risk. Built with Python, pandas, and scikit-learn, featuring full data analysis, model evaluation, and a live demo.

TTC Subway Delay Prediction
Developed a machine learning model and web app to predict TTC subway delays using historical transit data, aiming to improve reliability and commuter experience. Led data preprocessing, proposed actionable insights, and authored the final project report.

Reinforcement Learning Agent
Trained a reinforcement learning agent for a competitive platform fighter game using the PPO algorithm (Stable Baselines3), focusing on behavior shaping and performance optimization through reward design and hyperparameter tuning to incentivize attacking, evading, and winning behaviors.

IdolSnap
Android application that allows K-Pop fans to upload and share images of their favorite artists. The app leveraged machine learning and cloud services to enhance user experience, including Google Cloud Vision AI for content moderation and Firebase for backend functionality. Launched in 2021, the platform grew to over 1,000 users worldwide and was archived in 2023.
1000+ Installs

IZONE GALLERY*IZ
Android application designed for fans of K-Pop group IZ*ONE to browse curated artist photos sourced from various platforms. Developed with Java and Firebase, the app featured Firebase Authentication, Realtime Database integration, and push notifications to alert users of new content updates.
15k+ Installs
4.8